
暗物質占宇宙物質總量約85%,被視為21世紀物理學的重大謎題之一。國際高度重視暗物質研究,歐美已制定詳細規劃并開展多項相關項目。中國亦將其納入國家科技規劃,近年來在暗物質探測與理論研究上取得顯著進展,包括建設錦屏地下實驗室進行直接探測實驗和成功發射首顆暗物質探測衛星,均獲重要成果。
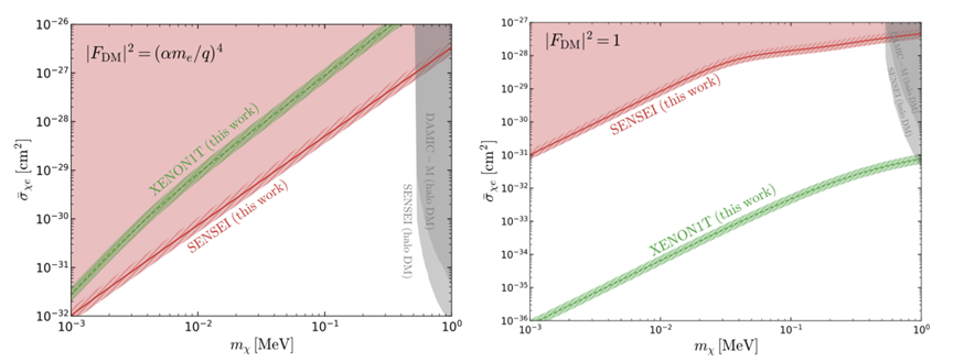
近日,煙臺大學祝斌教授與北京化工大學梁正良老師、南京師范大學武雷教授、蘇亮亮博士合作在國際物理學頂級期刊《Physical Review Letters》發表題為"Probing Sub-GeV Dark Matter via Plasmon Excitations in Semiconductor Detectors"的研究成果。該成果通過凝聚態物理與粒子物理的深度交叉融合,首次提出基于等離激元(plasmon)效應的創新探測范式,為破解輕暗物質探測困境開辟新路徑。研究團隊指出,該方案可無縫銜接當前半導體探測器的技術升級路線,為下一代輕暗物質探測實驗的設計提供關鍵理論支撐。此項成果由北京化工大學、南京師范大學與煙臺大學聯合攻關完成,祝斌教授與梁正良老師、武雷教授、蘇亮亮博士為共同通訊作者。研究工作獲得國家重點項目、國家自然科學基金面上項目的資助。
《Physical Review Letters》是國際物理學極具聲望的頂級期刊,其審稿嚴苛,是突破性成果的首選期刊,多篇諾獎論文刊發于此,全球科研者視其為學術影響力標桿,持續引領物理學科前沿發展。
論文鏈接:https://doi.org/10.1103/PhysRevLett.134.071001
來稿時間:2月27日 審核:劉俞斌 責任編輯:徐揚